Advisers and clients see the world differently
A little while ago, I wrote a post on how little time retail investors spend researching investments. They clearly invest less time than experts. What may also be important is to identify differences in the information that retail investors focus on compared to experts. And thanks to eye-tracking technology, we can get an idea about these differences as well.
A team from the University of Reading in the UK recruited 12 financial experts, 24 clients who used a financial adviser to manage their money and 24 novice investors (a.k.a. students) and presented them with different performance reports for a fund. The chart below shows the four combinations: two versions with positive performance, and two with negative performance and each split into a version with a benchmark comparison and one without.
Eye-tracking scenarios for hypothetical investment
Source: Williams et al. (2025)
The researchers then asked a couple of questions around these scenarios and used eye-tracking technology to figure out which part of the chart the volunteers focused on and for how long.
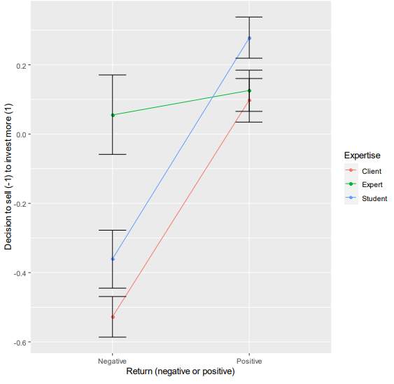
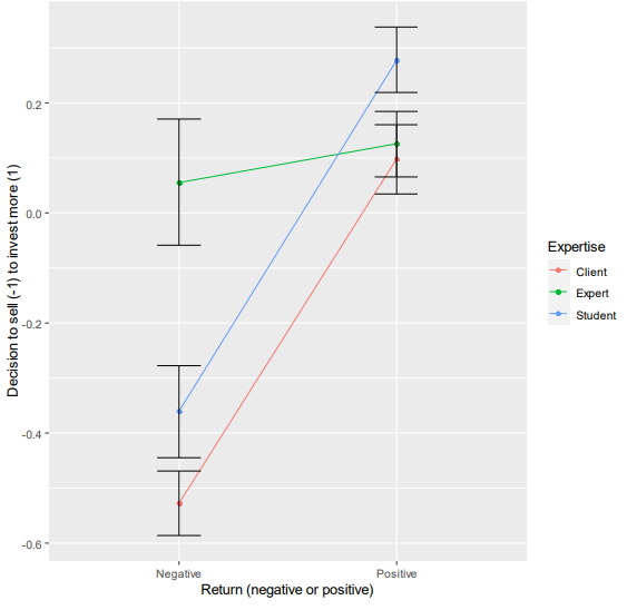
The chart below shows something independent of the eye-tracking exercise, namely, how likely the different groups were to sell an investment after being presented with positive or negative performance.
When they saw positive performance, both clients, experts and students were similarly inclined to buy more, but there was a significant difference when confronted with losses. Experts were not only less likely to sell the investments than clients and students, but also showed a slight tendency to buy the dip.
Investment decisions when returns were positive or negative
Source: Williams et al. (2025)
Analysis of the eye movements showed that clients rely far more than experts on the most recent performance. Clients, thus, are far more likely to chase recent past performance, while experts tend to take a broader look at things and rely less on past performance to make their decisions. But note in the chat below how the presence of a benchmark comparison fixates clients even more on past performance. Benchmark comparisons make performance chasing more likely with clients, but not with experts.
Difference in the number of visits to the last two months of performance
Source: Williams et al. (2025)
In the end, even if we as experts present information in the best possible way to clients, the reality is that clients focus on different things than we do and hence ‘see’ the world differently. And we, as experts, must help clients to improve their decisions by focusing on the right information.




