The EU as an investor
You can criticise the EU for a lot of things, but when it comes to investing its money, it does a good job, something that is important when considering the investments in the reconstruction of Ukraine after the war ends, when the EU will be the main provider of funds.
The EU has a series of funds that are together known as the European Structural and Investment Funds, which direct investments into poorer and less developed regions of the union. Since the late 1990s, the EU has spent more than 1 trillion euros on these funds to ‘level up’ the continent. The map below shows which parts of the EU have been receiving the most money from these funds (dark blue areas) and which parts have received less (yellow and light green areas).
Recipients of ESIF money 2014-2020
Source: de Sanctis et al. (2025)
These ESI funds aim to benefit regions that are less productive and underdeveloped to create jobs, increase wages and ultimately, foster cohesion among EU member states. Let’s see how this worked in the period 2014 to 2020, examined by Alessandro de Sanctis and his colleagues.
Notably, they find that the companies that receive EU funding tend to be the more productive and better-managed ones in these poorer regions. The EU doesn’t want to waste its money on businesses that are likely to go under, so like every good venture capitalist, they check the financials, governance, etc. and then decide which business is best placed.
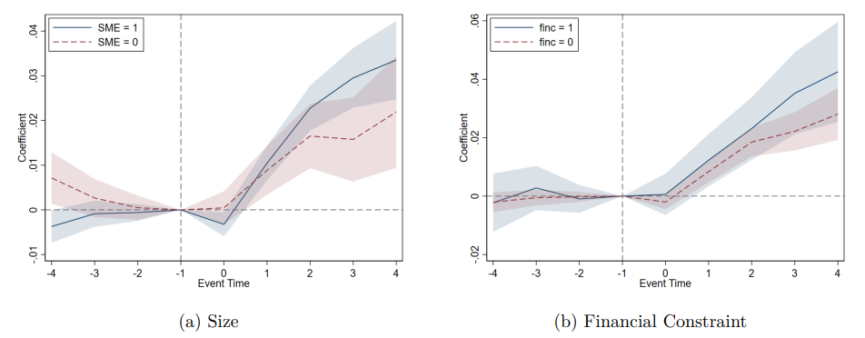
Once these businesses have been selected, the EU funding does make a big difference in the capital available for investments. The charts below show the impact of receiving EU ESIF money in the four years after they have been selected. On the left-hand side, you see the impact split between small and medium-sized companies (SME) and larger businesses, while on the right-hand side, you see the difference between financially constrained businesses (i.e. businesses that cannot get enough funding from banks to drive their expansion projects) and those that are not. Clearly, the EU money is much more impactful when allocated to SMEs (which, by the way, tend to employ the majority of workers in any region) and with financially constrained companies that cannot get enough funding to finance all their expansion projects. Both groups of businesses tend to see their capital base increase by about 20% within four years.
Cumulative effect of ESIF on firm capital
Source: de Sanctis et al. (2025)
What this indicates is that the money from the EU creates a lot of jobs because it helps SMEs and financially constrained companies grow their businesses, which ultimately results in new jobs.
But it’s not just capital that the EU provides. It’s how this capital transforms the businesses that receive it. The charts below show that businesses that receive EU funding tend to become more productive. In particular, SMEs and financially constrained businesses see a larger increase in productivity. And because wages are highly correlated with productivity, these charts imply that the new EU’s investments not only create new jobs but also increase wages for the people employed in the region.
This is what successful levelling up looks like. Boris Johnson should have taken a page out of this playbook.
Cumulative effect of ESIF on productivity
Source: de Sanctis et al. (2025)
Which brings me to the most important question: If the ESIF is so successful at levelling up the EU and making poorer regions richer, why is the EU so unpopular, particularly in the regions that receive so much money, like Hungary, Slovakia, etc.?
The problem, in my view, is that the EU has terrible marketing. The people who benefit from EU funding typically don’t realise that it is the EU that pays them. Instead, local politicians take credit for money that came from Brussels but blame all the bad things that happen in the region on the bureaucrats in Brussels.





this is very important.
One of the main points of the EU in my mind is to replace local, pig-headed, anti-growth, lobby-directed subventions with supra-national, compromise-based, lobby-influenced but evidence-based subventions.
It started with projects like Airbus, which market fetishists e.g. at the Economist insisted at the time would never fly, so to speak. A government-created British-German-French competitor to Boeing? I'll never get over the fact that the prototype of the rustic backroom-deal pol, FJ Strauss, was the initiator of that one.
Let's not forget that that the EU is unique in that a number of countries yearn to join, such as Albania, Bosnia-Herzegovina, even Georgia. Who wants to become a new member of the U.S.? Puerto Rico has been on the fence for decades; Hawaii needed to be forced to join. No country wishes to become a new member of the Commonwealth, and as we know, there are wars being fought by those who want to escape the Russian Empire's sphere -- the idea of a country hoping for entry, as Outer Mongolia did in the 1950s, sounds absurd nowadays.
'The problem, in my view, is that the EU has terrible marketing. The people who benefit from EU funding typically don’t realise that it is the EU that pays them.'
Marketing? How often has this been repeated for decades now...
How popular is the EU in the western parts?
The EU has evolved in a rule setting mommy, telling you how to think about basically every political, economical, social and cultural position on the table. From the green 'transition' (where is it?) to immigration, from gender to foreign policy (Kallas...), from trade to 'democracy promotion' (we only like 'our side,' meaning Brussel's side, and to hell with local preferences). Big Sister believes that not only the science but also debate has been settled. Actually, it seems Big Sister doesn't like debate that much to begin with, no wnder eU freedom of speech is much less forcefully enshrined en less broader defined than that of our Big Daddy, the US).
She mingles in member's elections if she dislikes (the possible) outcome while being 'controlled' by a bad joke, pardon, a weak parliament, steered by an unelected Commission of parachuted ambitious midwits (Frans Timmermans paid B of euros to EU ngo's who accorded his green policies...) and no notes are taken at the Council of the European Union where the real decisions are made.
For we don't have to know.